• Предмет: Алгебра
  • Автор: djlexx36djlexx36
  • Вопрос задан 8 лет назад

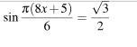
Решите уравнение (на фото). В ответе напишите наибольший отрицательный корень.

Приложения:

Ответы

Ответ дал: Гоша68
0

П(8x+5)/6=(-1)^k*П/3+Пk

(8x+5)/6=(-1)^k*1/3+k

8x+5=(-1)^k*2+6k

8x=(-1)^k*2+6k-5

x=(-1)^k/4+3k/4-5/8

k=1

x=-1/4+3/4-5/8=2/4-5/8=4/8-5/8=-1/8

ответ Х=-1/8

Вас заинтересует