Ответы
Ответ дал:
0
Решение
х²+2х-8/х²-4=7/х+2
х²+4х-2х-8/(х-2)(х+2)=7/х+2
х(х+4)-2(х+4)/(х-2)(х+2)=7/х+2
(х-2)(х+4)/(х-2)(х+2)=7/х+2
х+4/х+2=7/х+2
х+4=7
х=7-4
Ответ
х=3
Ответ дал:
0
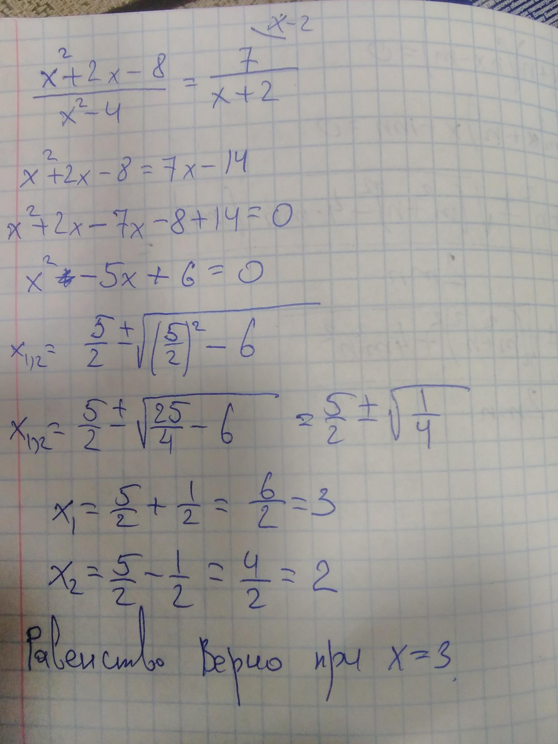
Я попробовал решить через приведенное квадратное уравнение
Приложения:

Вас заинтересует
2 года назад
3 года назад
8 лет назад
8 лет назад
9 лет назад