• Предмет: Математика
  • Автор: galyalll
  • Вопрос задан 8 лет назад

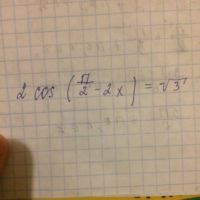
Тригонометрия! С подробным решением пожалуйста

Приложения:

Ответы

Ответ дал: mefody66
0

По формулам приведения cos (П/2-2х) = sin 2x

2sin 2x = √3

sin 2x = √3/2

2x = Π/3 + 2Πn; x1 = Π/6 + Πn, n € Z

2x = 2Π/3 + 2Πk; x2 = Π/3 + Πk, k € Z

Ответ дал: galyalll
0
А разве в ответе не x=П/3+пк/2, к€z. Мы же двойку делим на все
Ответ дал: galyalll
0
Ой тоесть x=п/6+пк/2,к€z
Ответ дал: mefody66
0
Если бы был sin x, то я бы написал, как в учебнике x = (-1)^k*Π/3 + Πk. Но когда у нас под синусом формула в скобках, нужно писать два корня с периодом 2Π, а потом из них выводить х. Иначе не получится.
Вас заинтересует