• Предмет: Физика
  • Автор: aleksandramayy
  • Вопрос задан 8 лет назад

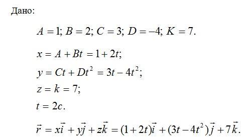
Движение материальной точки задано

Приложения:

Ответы

Ответ дал: DedStar
0

Решение данной задачи смотри в приложениях:

Приложения:
Вас заинтересует