• Предмет: Алгебра
  • Автор: 1w2w3w4w5w6
  • Вопрос задан 8 лет назад

Даю 40 баллов. Срочно, прошу помочь.
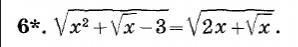
Задание на скриншоте.

Приложения:

Ответы

Ответ дал: wqwwqwqvhjv
0

Решение

√х²+√х-3=√2х+√х

х²+√х -3=2х+√х

х²-3=2х

х²-3-2х=0

х²-2х-3=0

Д=-2²-4*1*(-3)=16

х=2±4/2

х=2+4/2=3

х=2-4/2=-1

Проверка

х=3

√3²+√3 -3=√2*3+√3 ,

х=-1

√(-1)²+√-1-3=√2*(-1)+√-1

2,8=2,8

√-2+√-1=√-2+√-1

х=3

х≠-1

Ответ

х=3

Ответ дал: 1w2w3w4w5w6
0
Спасибо
Ответ дал: wqwwqwqvhjv
0
Не за что
Вас заинтересует