Ответы
Ответ дал:
0
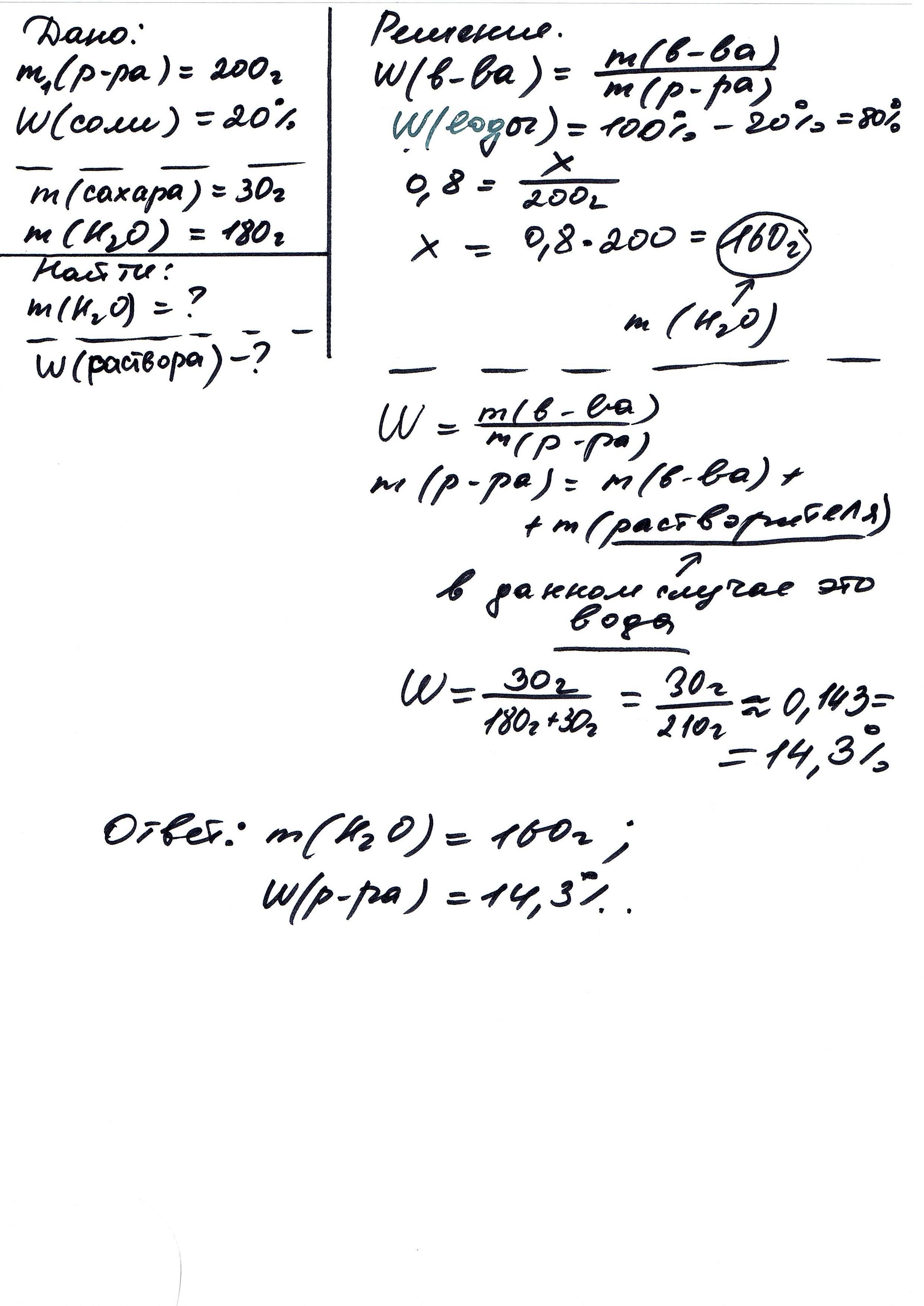
Смотрите по фотографии, надеюсь, что вы поймёте, удачи
Приложения:

Вас заинтересует
2 года назад
3 года назад
8 лет назад