• Предмет: Алгебра
  • Автор: GaygoldYulia
  • Вопрос задан 8 лет назад

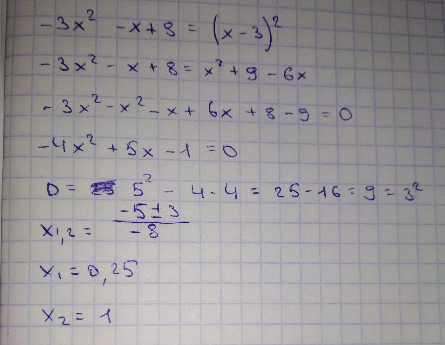
-3x^2 -x+8= (x-3)^2
Решите уравнение

Ответы

Ответ дал: ssslleo
0

.........................

Приложения:
Вас заинтересует