Ответы
                                            Ответ дал: 
                                                                                    
                                        
                                            
                                                
                                                
                                                
                                                    0
                                                
                                            
                                        
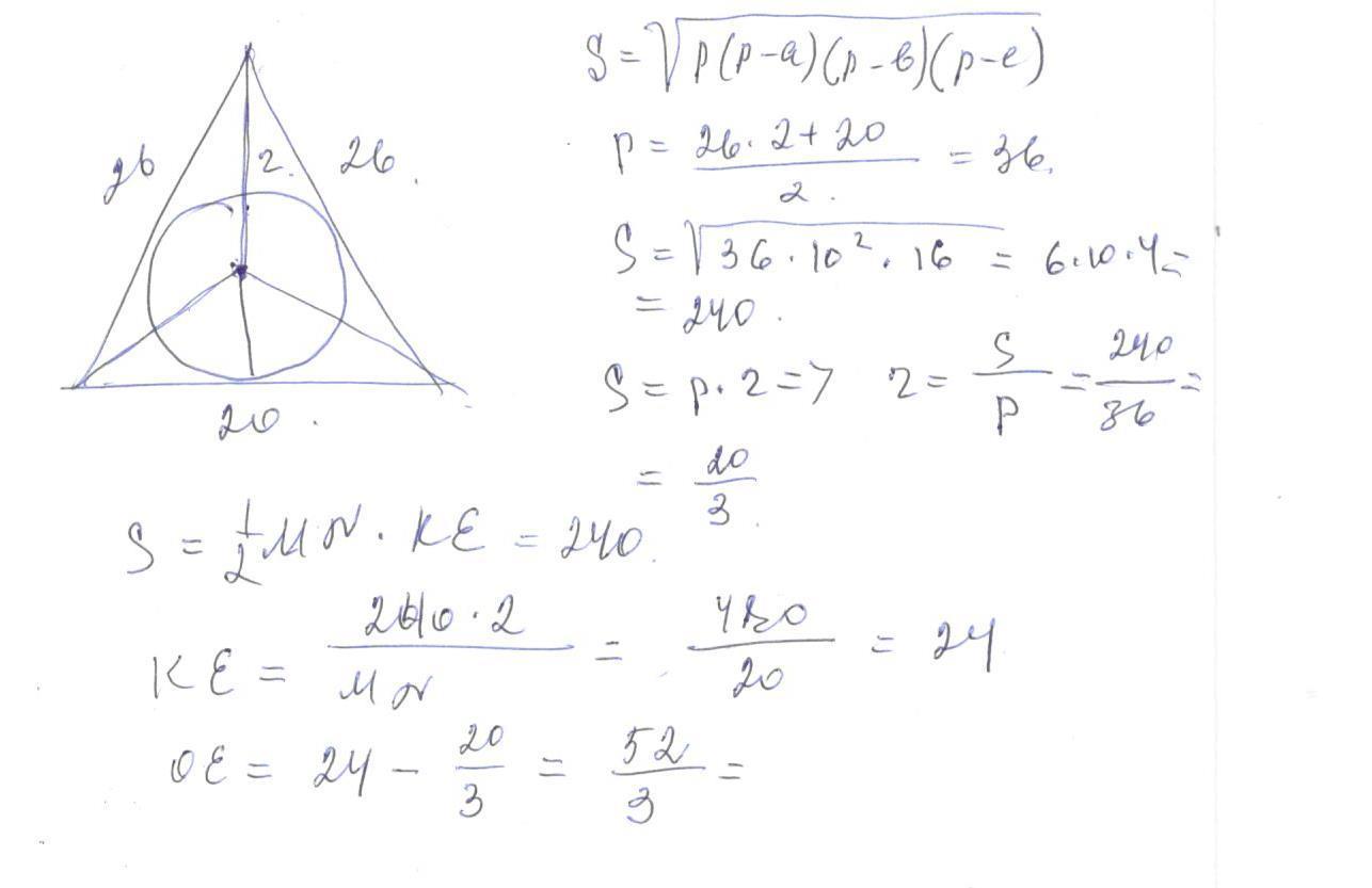
                                    В первом явно напутала с арифметикой - проверь, числа не целые, так не должно быть, но проверять некогда. Да и решение не рациональное. Остальное вроде верно.
Приложения:
                    
                            
                            Вас заинтересует
                
                        2 года назад
                    
                
                        2 года назад
                    
                
                        3 года назад
                    
                
                        3 года назад
                    
                
                        9 лет назад
                    
                
                        9 лет назад
                    
                
                        9 лет назад
                    
                
                        9 лет назад