• Предмет: Математика
  • Автор: GenteleMengele
  • Вопрос задан 8 лет назад

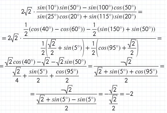
2 × 2^(1 / 2) × ((sin(10°)*sin(50°)-sin(100°)*cos(50°))/(sin(25°)cos(20°)+sin(115°)*sin(20°))

Ответы

Ответ дал: dimaogol2000
0

Ответ:

Пошаговое объяснение:

//////////////////////////////////////////

Приложения:
Вас заинтересует