Ответы
Ответ дал:
0
только я не написала чему принадлежит х.ответ с минусом
Приложения:

Ответ дал:
0
у вас ошибочка 6/-5 отвен будет отпицательный
Ответ дал:
0
ок, спасибо
Ответ дал:
0
исправте сфоткайте и заново дайте ответ
Ответ дал:
0
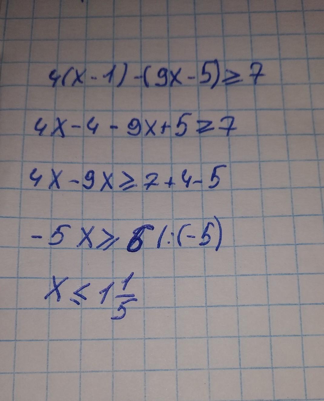
4(x-1)-(9x-5)≥7
4х-4-9х+5≥7
-5х≥7-1
-5х≥6 |:(-5)
х≥-6/5
х<=-1 1/5
ответ:[-бесконечности;-1 1/5]
4х-4-9х+5≥7
-5х≥7-1
-5х≥6 |:(-5)
х≥-6/5
х<=-1 1/5
ответ:[-бесконечности;-1 1/5]
Приложения:

Вас заинтересует
2 года назад
2 года назад
3 года назад
8 лет назад
9 лет назад
9 лет назад