• Предмет: Математика
  • Автор: doychikkirya
  • Вопрос задан 8 лет назад

помогите срочно пожалуйста не могу решить мне только надо ответ

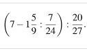
Приложения:

Ответы

Ответ дал: Galina1013
0

Ответ:

2целых 1/4

Пошаговое объяснение:

14/9*24/7=16/3=5 1/3

6 3/3-5 1/3=1 2/3=5/3

5/3*27/20=9/4=2 1/4

Вас заинтересует