Ответы
Ответ дал:
0
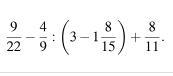
9/22 - 4/9 : (3 - 1 8/15) + 8/11 =
= 9/22 - 4/9 : (45/15 - 23/15) + 8/11 =
= 9/22 - 4/9 : 22/15 + 16/22 =
= 9/22 + 16/22 - 4/9 • 25/22 =
= 25/22 - 4/9 • 25/22 =
= 25/22 • (1 - 4/9) =
= 25/22 • 5/9 = 125/198
= 9/22 - 4/9 : (45/15 - 23/15) + 8/11 =
= 9/22 - 4/9 : 22/15 + 16/22 =
= 9/22 + 16/22 - 4/9 • 25/22 =
= 25/22 - 4/9 • 25/22 =
= 25/22 • (1 - 4/9) =
= 25/22 • 5/9 = 125/198
Вас заинтересует
2 года назад
2 года назад
3 года назад
3 года назад
9 лет назад
10 лет назад