Ответы
Ответ дал:
0
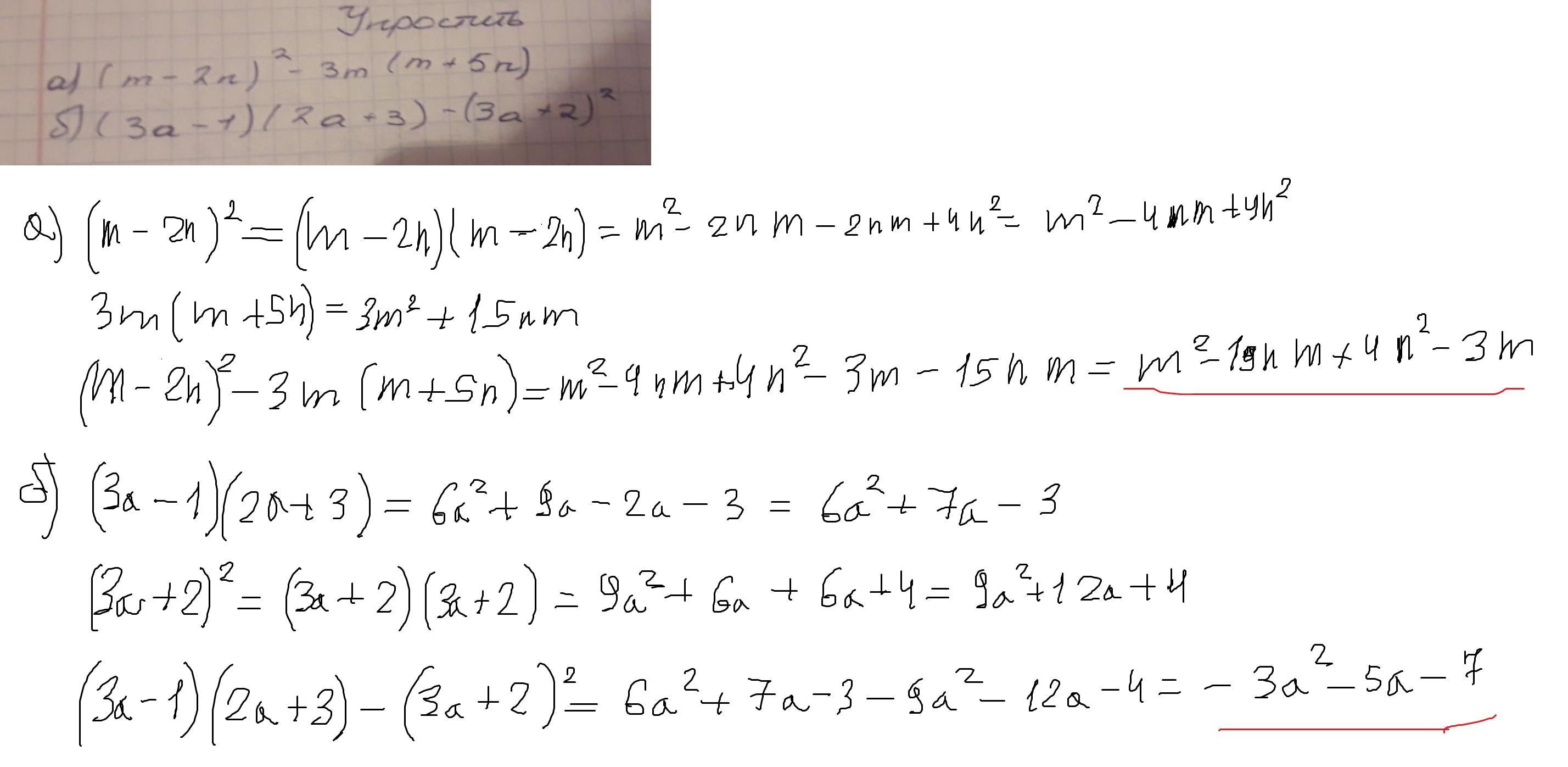
a)m^2-4m+4n^2-3m^2-15mn=-2m^2-4m+4n^2-15mn
b)(3a-1)(2a+3)-(9a^2+12a+4)=6a^2+9a-2a-3-9a^2-12a-4=-3a^2-5a-7
Ответ дал:
0
cпасибо
Ответ дал:
0
Максимальное упрощение !!! xD
Приложения:

Ответ дал:
0
спасибо
Вас заинтересует
2 года назад
2 года назад
3 года назад
3 года назад
8 лет назад
8 лет назад