• Предмет: Алгебра
  • Автор: zatulina
  • Вопрос задан 8 лет назад

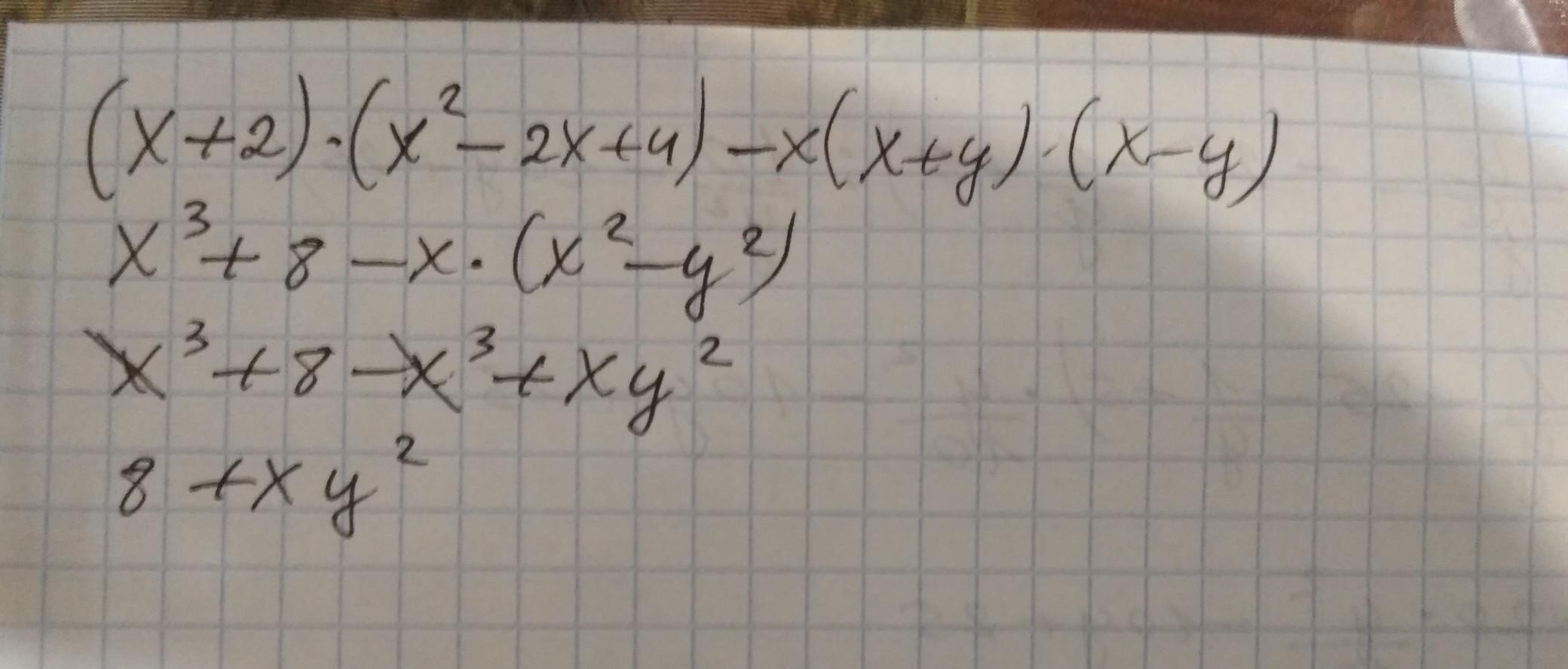
(x+2)(x^2-2x+4)-x(х+у)(х-у) упростите выражение

Ответы

Ответ дал: ZLOYTIGROVSKIY
0

~•~•~•ZLOY_TIGROVSKIY~•~•~•

Приложения:
Вас заинтересует