• Предмет: Математика
  • Автор: mrsozdatelsozrt
  • Вопрос задан 8 лет назад

Решите уравнения:
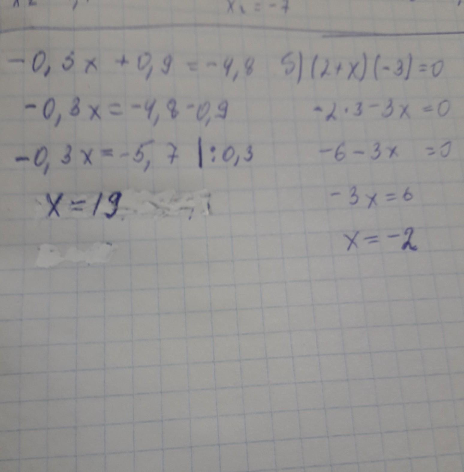
А) -0.3х + 0.9 = -4.8
Б) (2 + х ) (- 3) = 0
С решением пожалуйста
Заранее СПАСИБО)

Ответы

Ответ дал: taapan408
0

ответ и решение во вложении

Приложения:
Ответ дал: kit8543
0

Сразу решение:

-0.3x=-4.8-0.9

-0.3x=-5.7

X=19

Второе я не понял(-а)

Извини.

Приложения:
Вас заинтересует