50 БАЛЛОВ
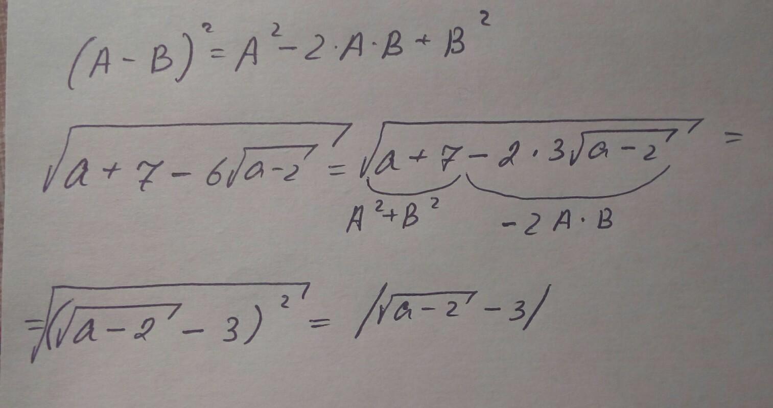
Упростите выражение, представив подкоренное выражение в виде полного квадрата двучлена:

Заранее спасибо))
Ответы
Ответ дал:
0
-----------------------------------
Приложения:
Ответ дал:
0
спасибо))
Вас заинтересует
2 года назад
3 года назад
3 года назад
9 лет назад
9 лет назад
10 лет назад
10 лет назад