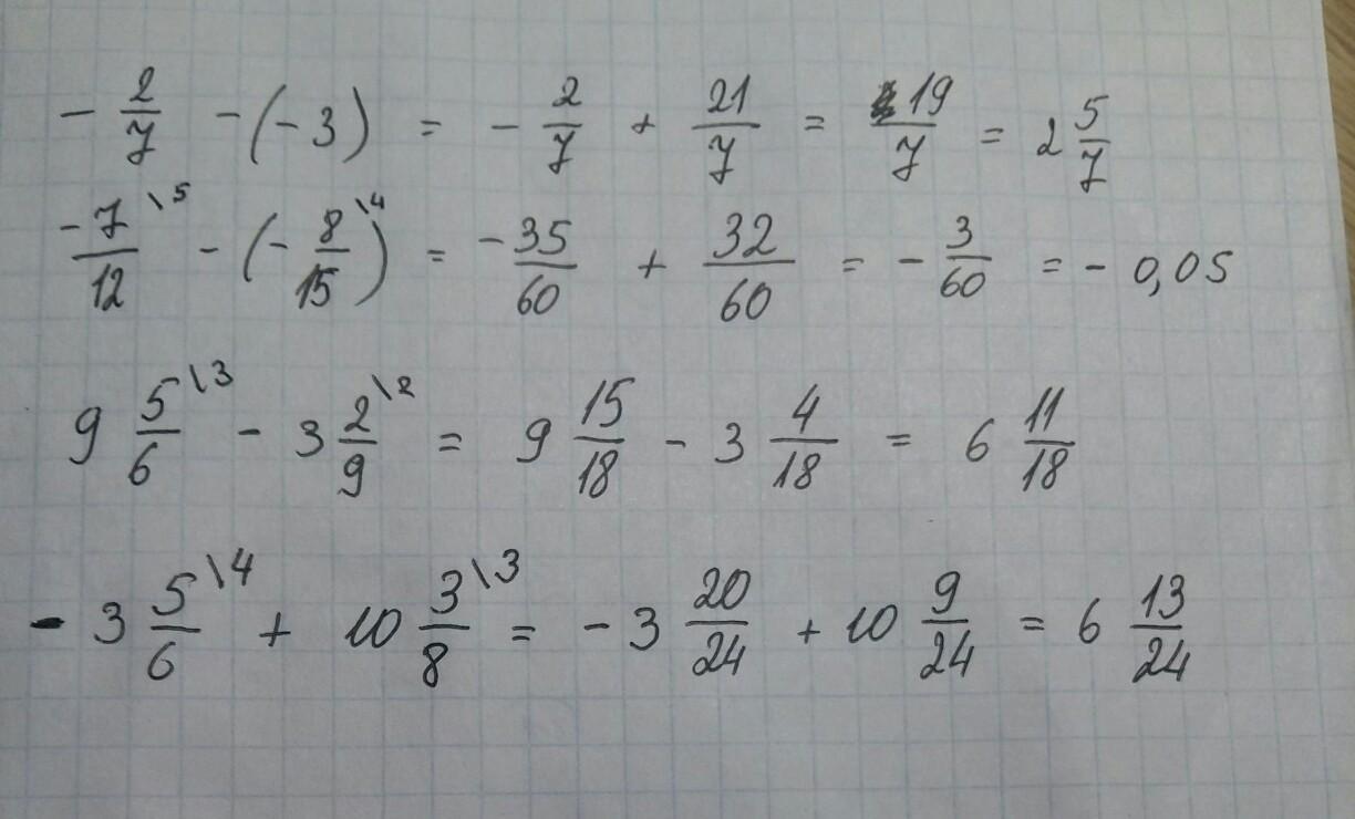
-2/7-(-3)
-7/12-(-8/15)
9 целых 5/6-3 целых 2/9
-3 целых 5/6+10 целых, 3/8
Помогите пожалуйста срочно надо
Ответы
Ответ дал:
0
ответ в фото...................
Приложения:

Вас заинтересует
2 года назад
2 года назад
3 года назад
3 года назад
8 лет назад
8 лет назад
9 лет назад
9 лет назад