• Предмет: Алгебра
  • Автор: xaker1239
  • Вопрос задан 8 лет назад

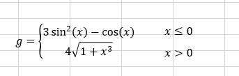
=ЕСЛИ(A7<=0;3sin'2x-cosx);(4)((1+x^2)^3/2)
Как написать эту формулу в EXCEL!
Помогите пожалуйста

Приложения:

Ответы

Ответ дал: Mozkaw
0

=ЕСЛИ(A7<=0,3*(SIN(A7))^2-COS(A7),4*КОРЕНЬ(1+(A7)^3))

Подразумевается, что значение X находится в ячейке A7.

Вас заинтересует