• Предмет: Алгебра
  • Автор: christinapetrova
  • Вопрос задан 8 лет назад

пж очень нужно!!!!!!!!!!!!!!!!!!!!!!!!!!!!!!!!!!!!!!

Приложения:

Ответы

Ответ дал: Universalka
0

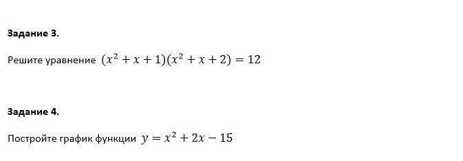
(x² + x + 1)(x² + x + 2) = 12

Сделаем замену :

x² + x + 1 = m , тогда  x² + x + 2 = m + 1

m(m + 1)= 12

m² + m - 12 = 0

m₁ = 3      m₂ = - 4  -  по теореме Виета

1) x² + x + 1 = 3

x² + x - 2 = 0

x₁ = - 2       x₂ = 1

2) x² + x + 1 = - 4

x² + x + 5 = 0

D = 1² - 4 * 5 = 1 - 20 = - 19 < 0

D < 0 ⇒ решений нет

Ответ : - 2 , 1

Задание 2

x  |   - 3       - 2        - 1        0        1

y  |  - 12      - 15       -16      - 15    - 12

Приложения:
Вас заинтересует