• Предмет: Математика
  • Автор: Vladimir2555ru
  • Вопрос задан 8 лет назад

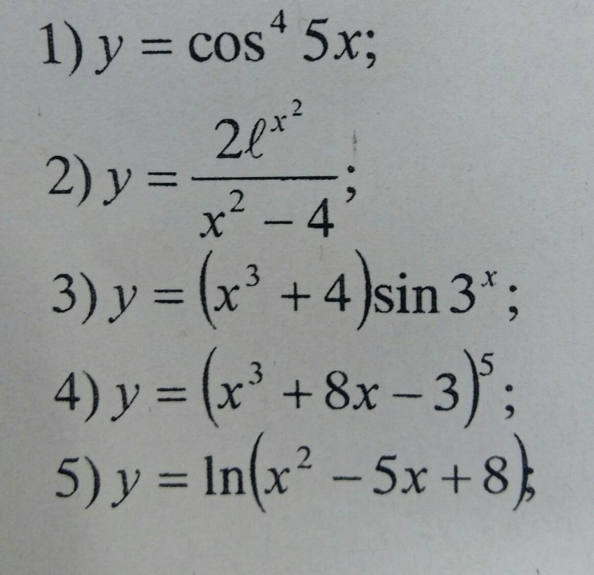
Найти производные функций​
Решите три примера

Приложения:

Ответы

Ответ дал: Trover
0

1);y'=4cos^35xcdot(5x)'=4cos^35xcdot5=20cos^35x\\2);y'=frac{(2e^{x^2})'cdot(x^2-4)-2e^{x^2}cdot(x^2-4)'}{(x^2-4)^2}=frac{2e^{x^2}(x^2)'(x^2-4)-2xcdot2e^{x^2}}{(x^2-4)^2}=\=frac{4xcdot e^{x^2}(x^2-4)-4xcdot e^{x^2}}{(x^2-4)^2}=frac{4xcdot e^{x^2}(x^2-4-1)}{(x^2-4)^2}=frac{4xcdot e^{x^2}(x^2-5)}{(x^2-4)^2}

3);y'=(x^3+4)'cdotsin3^x+(x^3+4)cdot(sin3^x)'=3x^2sin3^x+(x^2+4)cdotcos3^xcdot(3^x)'=\=3x^2sin3^x+(x^2+4)cdotcos3^xcdot3^xln3\\4);y'=5(x^2+8x-3)^4cdot(x^3+8x-3)'=5(x^3+8x-3)^4cdot(3x^2+8)\\5);y'=frac1{x^2-5x+8}cdot(x^2-5x+8)'=frac{2x-5}{x^2-5x+8}

Вас заинтересует