• Предмет: Алгебра
  • Автор: minedcooper
  • Вопрос задан 8 лет назад

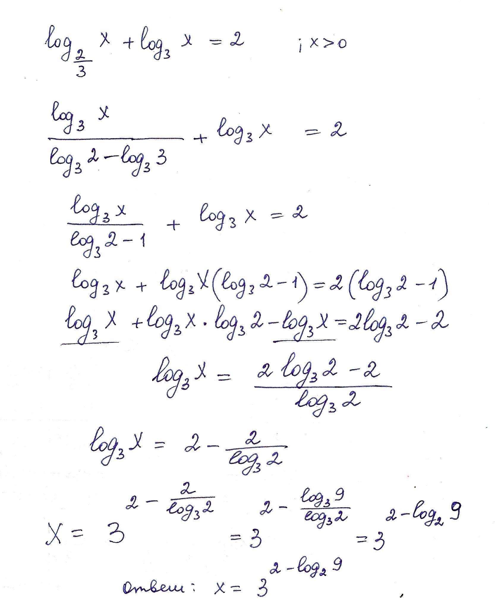
СРОЧНО!! log 2/3 (x) + log 3 (x) = 2 Решите пожалуйста.

Приложения:

Ответы

Ответ дал: maksimcat
0

ответ на фото\\\\\\\\\\\\\\\\\\\\\\\\

Приложения:
Вас заинтересует