• Предмет: Математика
  • Автор: zaur200690
  • Вопрос задан 8 лет назад

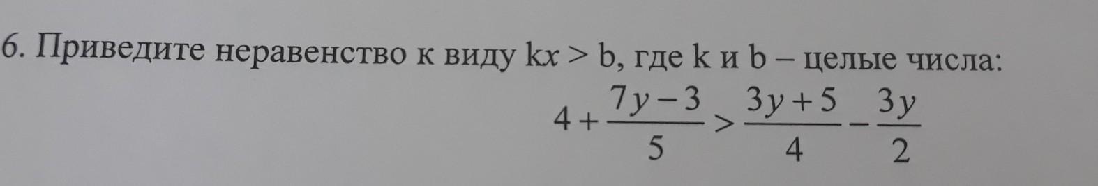
Приведите неравенство к виду kx>b, где k и b - целые числа:​

Приложения:

Ответы

Ответ дал: natkazag
0

Ответ:

y>-1

Пошаговое объяснение:

Приведем к общему знаменателю 20, в числителе будет:

20*4+4(7y-3)>5(3y+5)-10*3y;

80+28y-12>15y+25-30y

28y-15y+30y>25-80+12

43y>-43

y>-1

в данном случае b= -1, k=1

Ответ дал: sugar1221
0
спасибо
Ответ дал: dasazolotuhina016
0
Это правильно?
Ответ дал: oksanaanishenko2006
0
СПАСИБО огромное !!!!!!!!!!!!!!!!!!!!!!!!!!!!!!!!!!!!!!!!!!!!!!!!!!!!!!!!!!!!!!
Ответ дал: gelya4002007
0
Это правильно?
Ответ дал: Schahira
0
спасибо
Вас заинтересует