• Предмет: Математика
  • Автор: Nastuha9122
  • Вопрос задан 8 лет назад

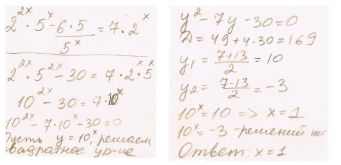
Помогите, объясните как это решается: 4^x×5^x-6×5^1-x=7×2^x

Ответы

Ответ дал: natkazag
0

Ответ:

x=1

Пошаговое объяснение:

Приложения:
Вас заинтересует