Ответы
Ответ дал:
0
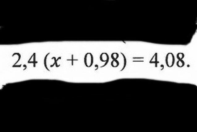
Вот полное решение! Надеюсь, помогла)))
Приложения:

Ответ дал:
0
Огромное спасибо !
Вас заинтересует
2 года назад
3 года назад
8 лет назад
8 лет назад