Ответы
Ответ дал:
0
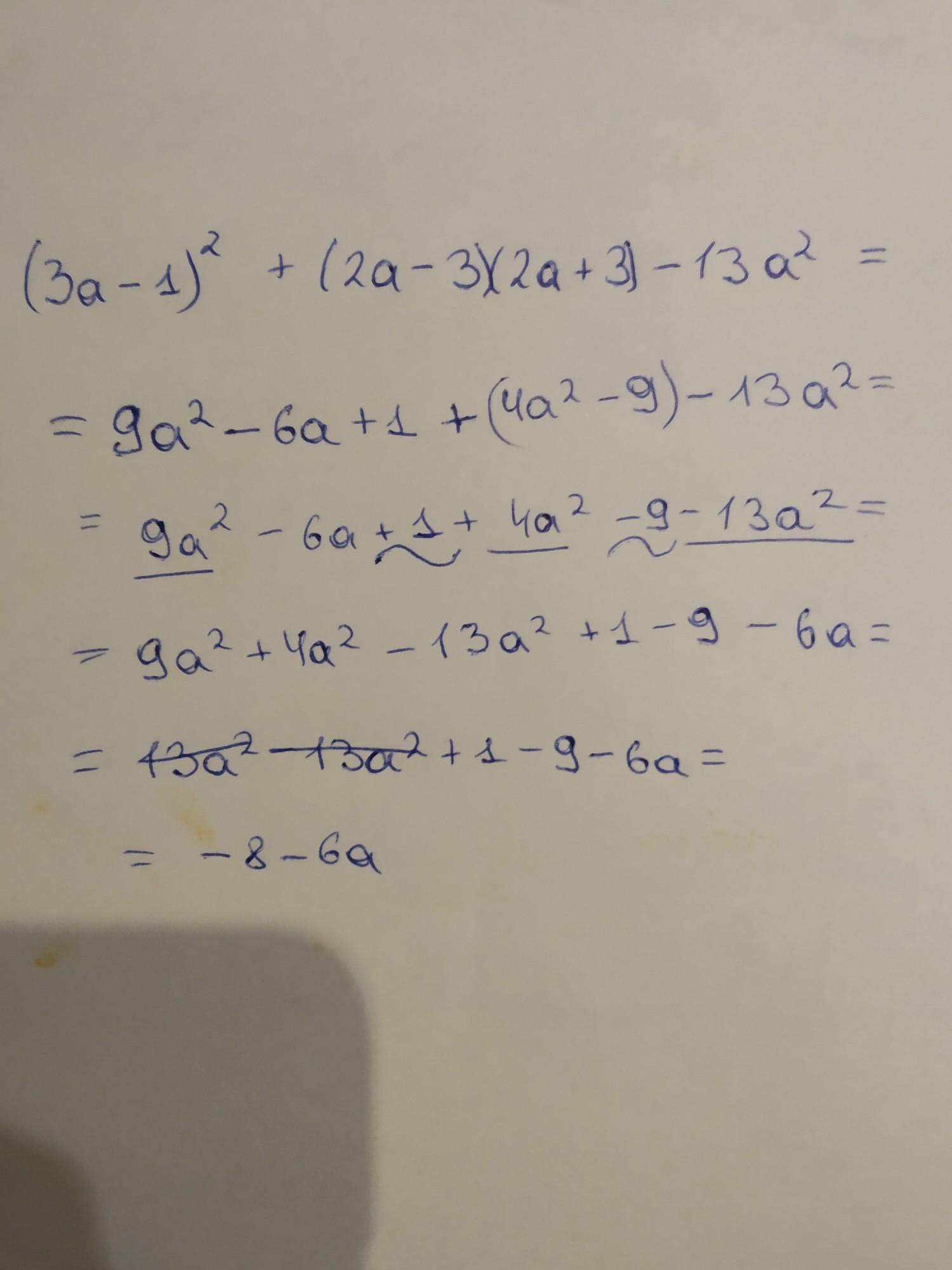
(3a-1)²+(2a-3)(2a+3)-13a² =9а^2-6а+1+4а^2-9-13а^2=0-6а-8=-6а-8
Ответ дал:
0
Вот развернутый ответ.......
Приложения:

Вас заинтересует
2 года назад
3 года назад
3 года назад
8 лет назад
8 лет назад
9 лет назад