• Предмет: Математика
  • Автор: ldika8
  • Вопрос задан 8 лет назад

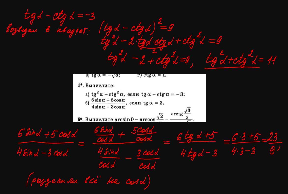
№5 срочно,пожалуйста!!!!!!

Приложения:

Ответы

Ответ дал: vavdovina55
0

Ответ:

Пошаговое объяснение:

Приложения:
Вас заинтересует