• Предмет: Алгебра
  • Автор: imranshogenov118
  • Вопрос задан 8 лет назад

Срочно помогите пожалуйста! 20 баллов

Приложения:

Ответы

Ответ дал: 274578
0

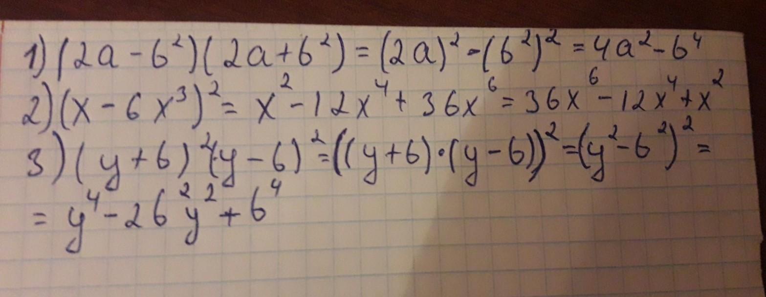
думаю что это будет правильно.

Приложения:
Вас заинтересует