• Предмет: Математика
  • Автор: 1996CFO
  • Вопрос задан 8 лет назад

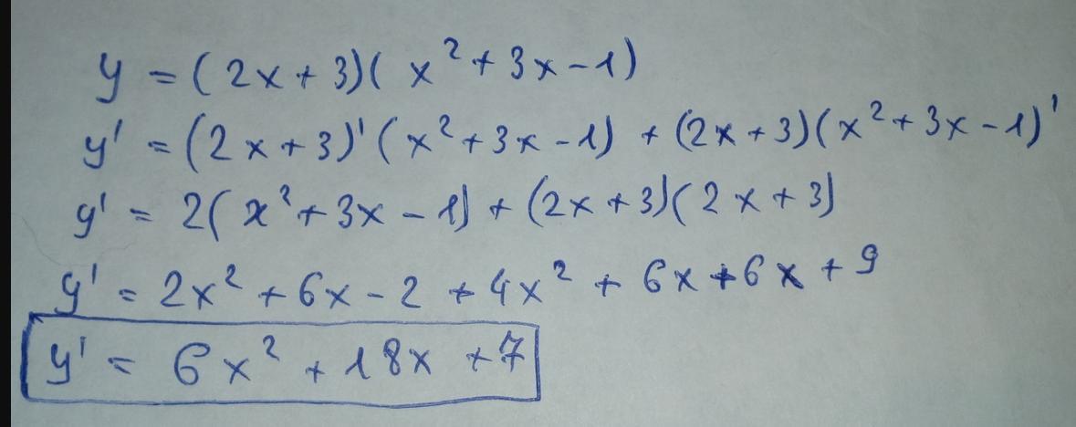
найти производные функции y=(2x+3) ( x^2+3x-1)

Ответы

Ответ дал: cambogiyt
0

y'=6x^2+18x+7

Приложения:
Вас заинтересует