• Предмет: Алгебра
  • Автор: ggghff
  • Вопрос задан 8 лет назад

Помогите срочно.................

Приложения:

Ответы

Ответ дал: Universalka
0

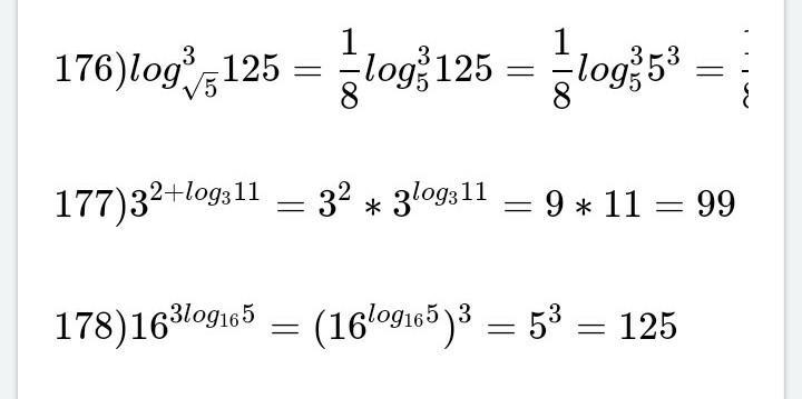
176)log^{3}_{sqrt{5} }125=frac{1}{8} log^{3}_{5}125=frac{1}{8}log^{3} _{5}5^{3}=frac{1}{8}*27log^{3}_{5}5=frac{27}{8}=3,375\\177)3^{2+log_{3}11 } =3^{2}*3^{log_{3}11 }=9*11=99\\178)16^{3log_{16}5 }=(16^{log_{16}5})^{3}=5^{3}=125

Ответ дал: annahovsepyan200391
0
5*intlimits^b_0 {1/(1+cosx) , dx =2,5* intlimits^b_0 {1/(cos^2x/2)} , dx =\ = 5/2tg(x/2)*2 |п/2 0=

=5*(tgп/4-tg0)=5(1-0)=5
Ответ дал: hidsim
0

держиииии...............

Приложения:
Ответ дал: ggghff
0
Ахахаха копировать умеешь молодца
Ответ дал: hidsim
0
просто срочно нужны были баллы
Ответ дал: hidsim
0
сории
Ответ дал: ggghff
0
Да понял ахпх
Вас заинтересует