• Предмет: Алгебра
  • Автор: Аноним
  • Вопрос задан 8 лет назад

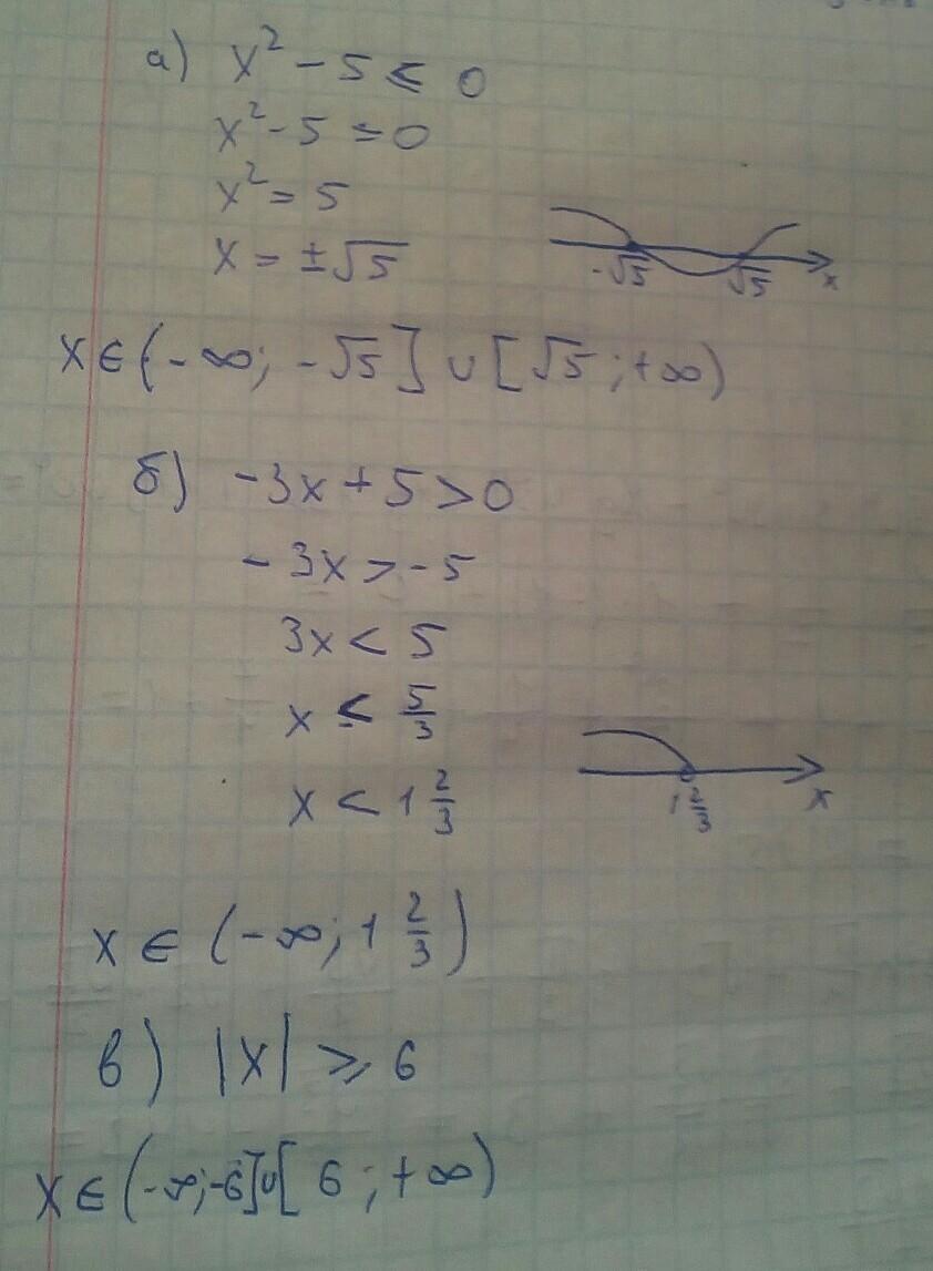
Решение неравенств с одной переменной а) x^2-5меньше или равно 0 б) -3x+5>0 в) /x/ больше или равно 6

Ответы

Ответ дал: anrita16
0

может так? я точно не знаю

Приложения:
Ответ дал: asialoban
0
Решения примеров а и в не совсем правильные
Ответ дал: Аноним
0
Нормально
Ответ дал: anrita16
0
исправлюсь в следущий раз)
Ответ дал: asialoban
0

Решение на фотографии

Приложения:
Вас заинтересует