Ответы
Ответ дал:
0
В первом задании точно не ?
А то ответ получается не красивый. [tex]sqrt{frac{3}{2} } ≈1,22, sinx>1.22 - sinx всегда больше 0
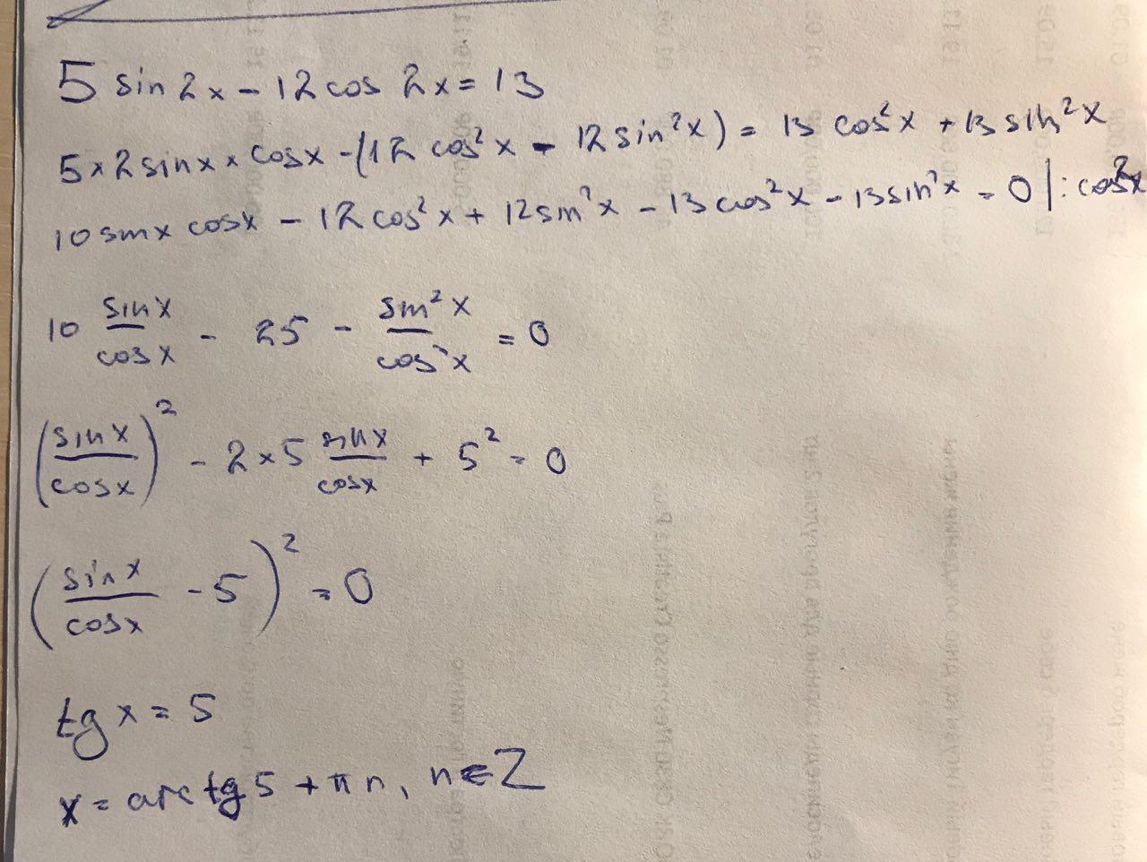
Приложения:


Ответ дал:
0
нет, там именно так, как я написала:)
Ответ дал:
0
не могу формулу написать в ответе, все время какая то хрень получается))
Ответ дал:
0
2. уравнение 100% правильно, я ответ проверил на калькуляторе, 1. тоже вроде верно)
Вас заинтересует
2 года назад
3 года назад
3 года назад
8 лет назад
8 лет назад