Ответы
Ответ дал:
0
Вот посмотри по фоткам
Приложения:


Ответ дал:
0
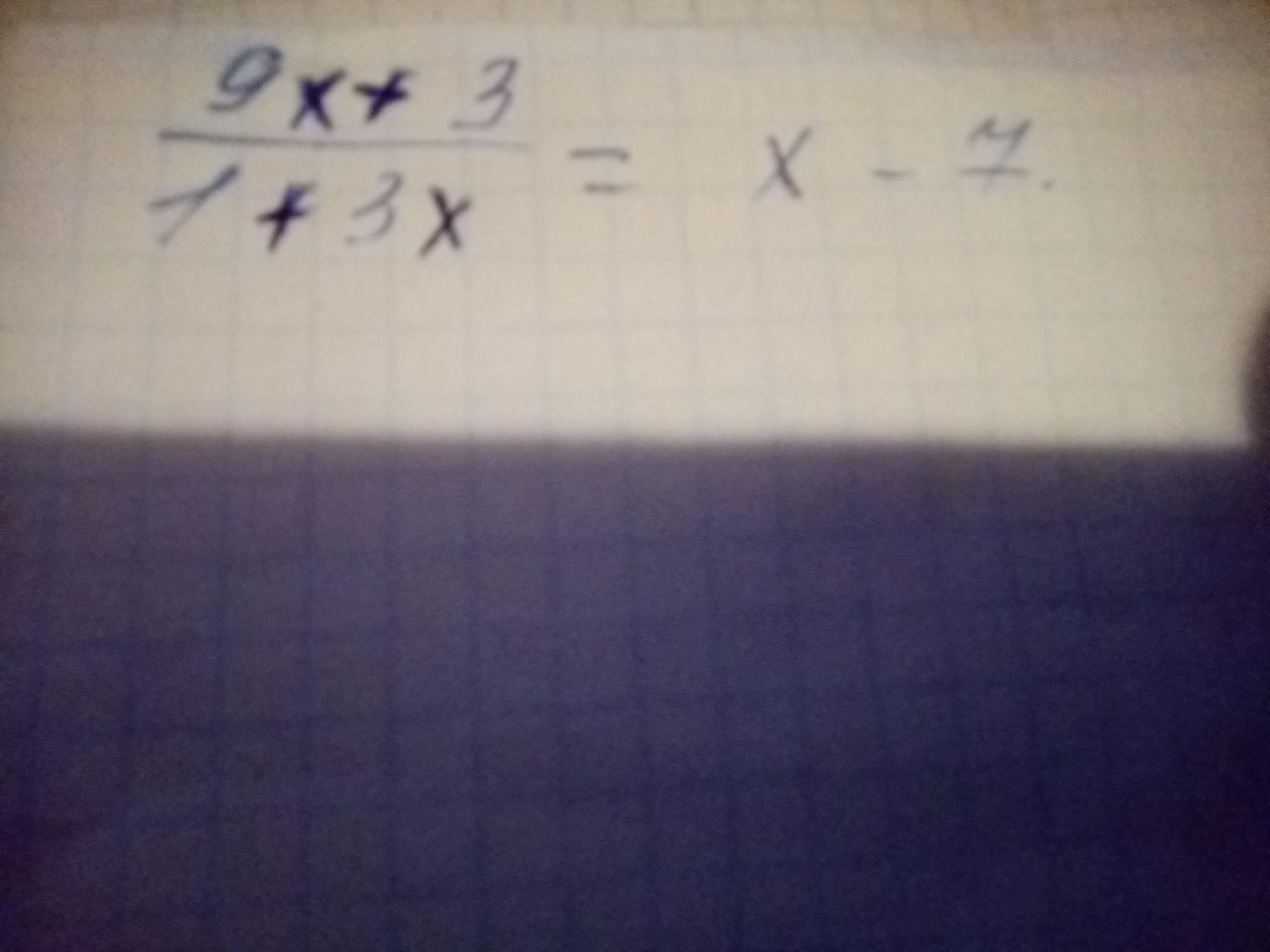
(1+3x)(x-7)=9x+3
X-7+3x^2-21x=9x+3
11x+3x^2=10
11x+ 3x^2-10=0
Затем решаешь с помощью дескриминанта
Приложения:


Вас заинтересует
2 года назад
2 года назад
3 года назад
3 года назад
8 лет назад
8 лет назад
9 лет назад