• Предмет: Алгебра
  • Автор: furfur1619
  • Вопрос задан 8 лет назад

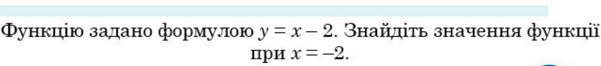
Помогите пожалуйста! Алгебра!Срочно!​

Приложения:

Ответы

Ответ дал: chika30
0
y=-2-2
y=-4
как-то так, если не ошибаюсь
Ответ дал: cihf88
0

y= -4...........

....

Вас заинтересует