• Предмет: Математика
  • Автор: Sergey111s
  • Вопрос задан 8 лет назад

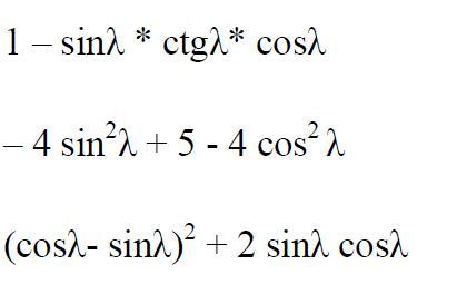
Задача Упростить. Решите пж

Приложения:

Ответы

Ответ дал: Bena20191
0

Ответ:

Пошаговое объяснение:

Приложения:
Вас заинтересует