Ответы
Ответ дал:
0
Ответ:
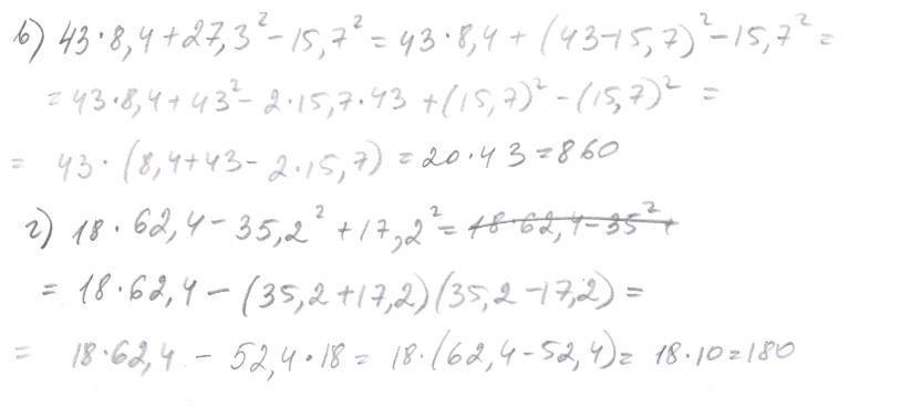
в 860, г 180
Пошаговое объяснение:
Приложения:

Ответ дал:
0
большое спасибо
Ответ дал:
0
огромное)))
Вас заинтересует
2 года назад
2 года назад
3 года назад
3 года назад
8 лет назад
8 лет назад
9 лет назад
9 лет назад