Ответы
Ответ дал:
0
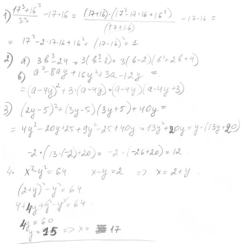
1)1
3)y(13y+20)
4) 17 и 15
Приложения:

Ответ дал:
0
Спасибо. Поставлю четыре звёзды из за отсутствия в 3-ем задании пункта б
Вас заинтересует
2 года назад
2 года назад
3 года назад
3 года назад
8 лет назад
8 лет назад
9 лет назад