• Предмет: Математика
  • Автор: valeriyabakhtina
  • Вопрос задан 8 лет назад

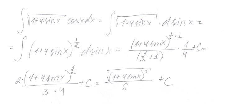
Помогите решить интеграл, 1 номер, 1 задание

Приложения:

Ответы

Ответ дал: natkazag
0

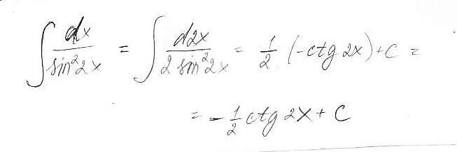
Ответ:

2)-1/2*ctg2x+c

Пошаговое объяснение:

Приложения:
Вас заинтересует