Ответы
Ответ дал:
0
Ответ:
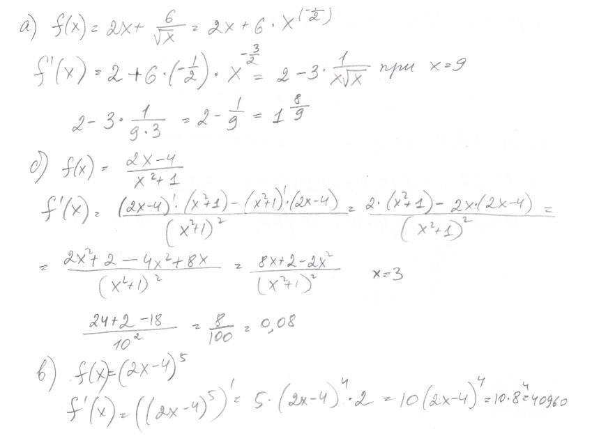
а) 1 целая 8/9 б)0,08 в) 40960
Пошаговое объяснение:
Приложения:

Ответ дал:
0
Спасибо!А на первом лестке 2 задание с буквы д начиная можно?
Вас заинтересует
2 года назад
3 года назад
8 лет назад
8 лет назад
9 лет назад
9 лет назад