Ответы
Ответ дал:
0
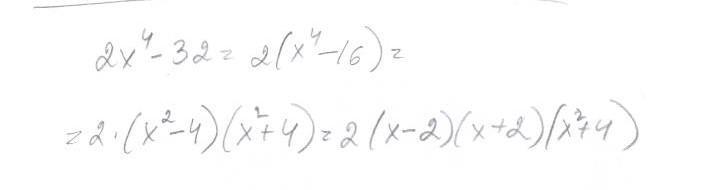
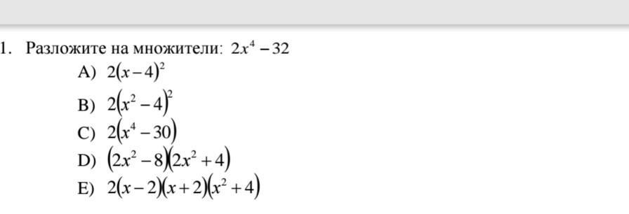
ответ Е, смотри приложение
Приложения:

Вас заинтересует
2 года назад
8 лет назад
9 лет назад