• Предмет: Математика
  • Автор: ecdhuswnur
  • Вопрос задан 8 лет назад

помогите пожалуйста срочно ​

Приложения:

Ответы

Ответ дал: alesyaperova
0

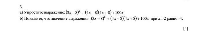
3.

а)

 {9x}^{2}  - 48x + 64 +  {16x}^{2}  - 64 +  \ 100x = 25 {x}^{2}  + 52

Б)

Не получается

Ответ дал: alesyaperova
0
смотри
Ответ дал: Аноним
0
спасибочки огромное вам
Ответ дал: Аноним
0
<3
Ответ дал: alesyaperova
0
не за что
Ответ дал: Аноним
0
:)
Вас заинтересует