• Предмет: Математика
  • Автор: hek47
  • Вопрос задан 8 лет назад

запишите коордианты центра окружноти ирешити плиз как минимум за 30мин контрольная плиз решите хотяб 4​

Приложения:

Ответы

Ответ дал: natkazag
0

Ответ:

1) (-3,1)

2)да

3) (x+3)^2+(y+6)^2=4

4) нет, т.к. 10^2+ (-6)^2 не равно 100

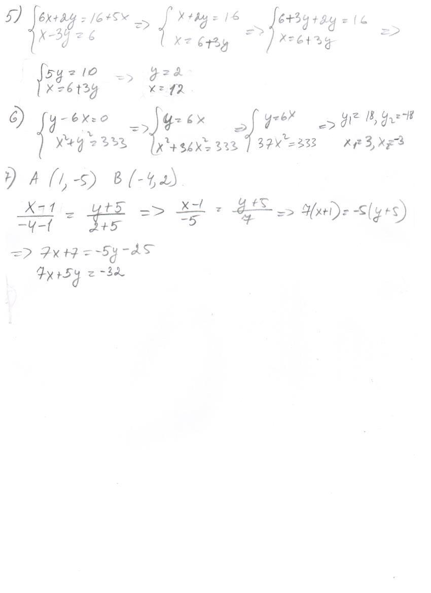
далее смотри вложение

Пошаговое объяснение:

Приложения:
Ответ дал: hek47
0
сп думаю хотьбы не меньше 5
Вас заинтересует