• Предмет: Математика
  • Автор: maribuling
  • Вопрос задан 8 лет назад

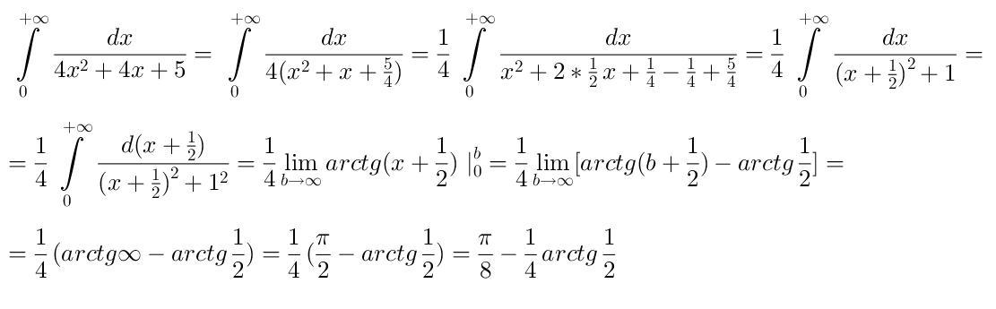
Вычислить несобственный интеграл или доказать его расхождение

Приложения:

Ответы

Ответ дал: alkorb
0

....................................................

Приложения:
Вас заинтересует