• Предмет: Математика
  • Автор: hutch
  • Вопрос задан 8 лет назад

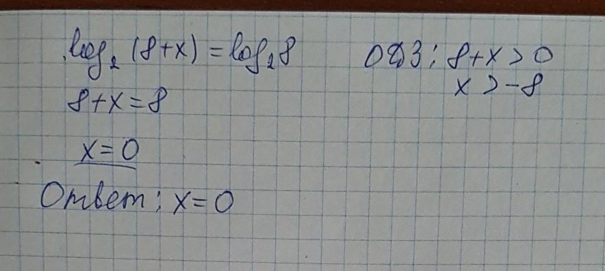
log2(8+x)=log2 8 решите срочно​

Ответы

Ответ дал: 1233090
0

решение задания смотри на фотографии

Приложения:
Вас заинтересует