• Предмет: Геометрия
  • Автор: sashapichugina
  • Вопрос задан 8 лет назад

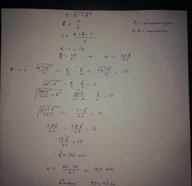
Найти катеты прямоугольного треугольника, если их отношение равно 20 к 21, а разница между радиусами описанного и вписанного кал равна 17 см.

Ответы

Ответ дал: yesseenn
0
решение показано на рисунке, все формулы взяты из школьной программы
Приложения:
Вас заинтересует