• Предмет: Математика
  • Автор: mitsukichan
  • Вопрос задан 8 лет назад

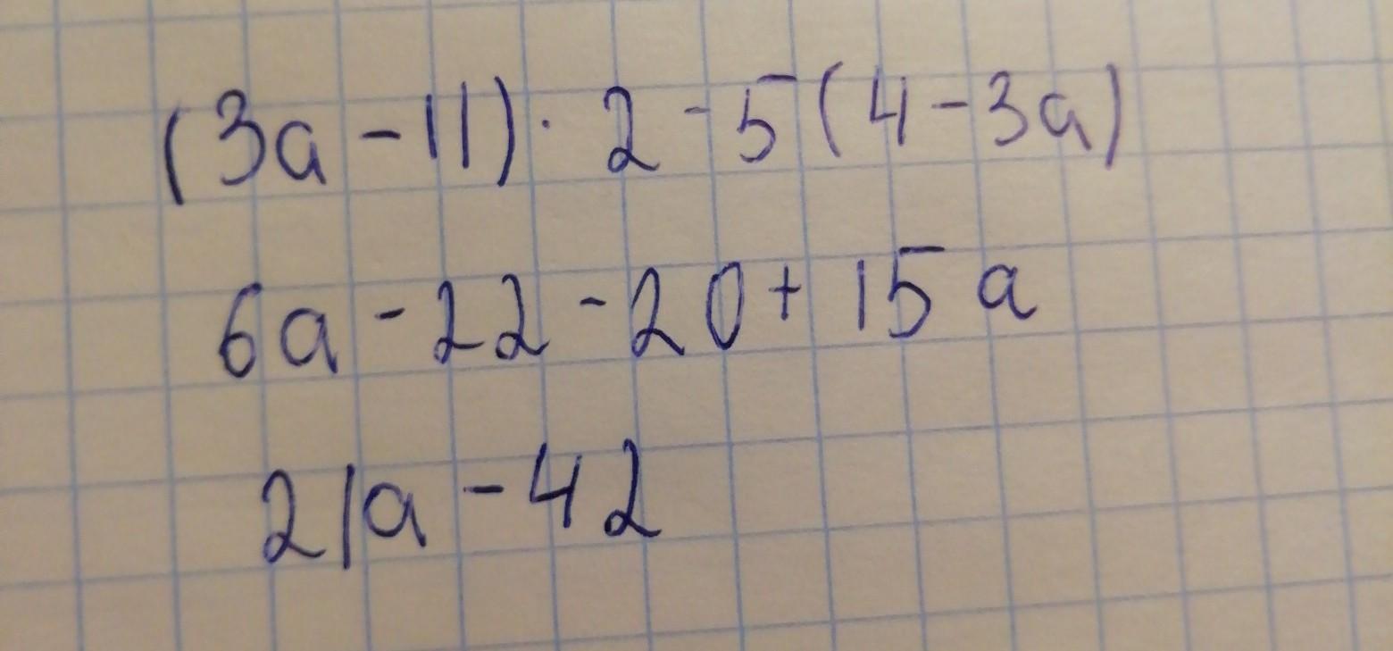
35 баллов!Пожаааааааалуйста! (3a-11)*2-5(4-3a)

Ответы

Ответ дал: verinova75
0
Ответ на листочке, в прикреплённом файле
Приложения:
Ответ дал: Galina1013
0

Ответ:

Пошаговое объяснение:

=6а-22-20+15а=21а-42

Приложения:
Вас заинтересует