• Предмет: Алгебра
  • Автор: emirakjolovv
  • Вопрос задан 8 лет назад

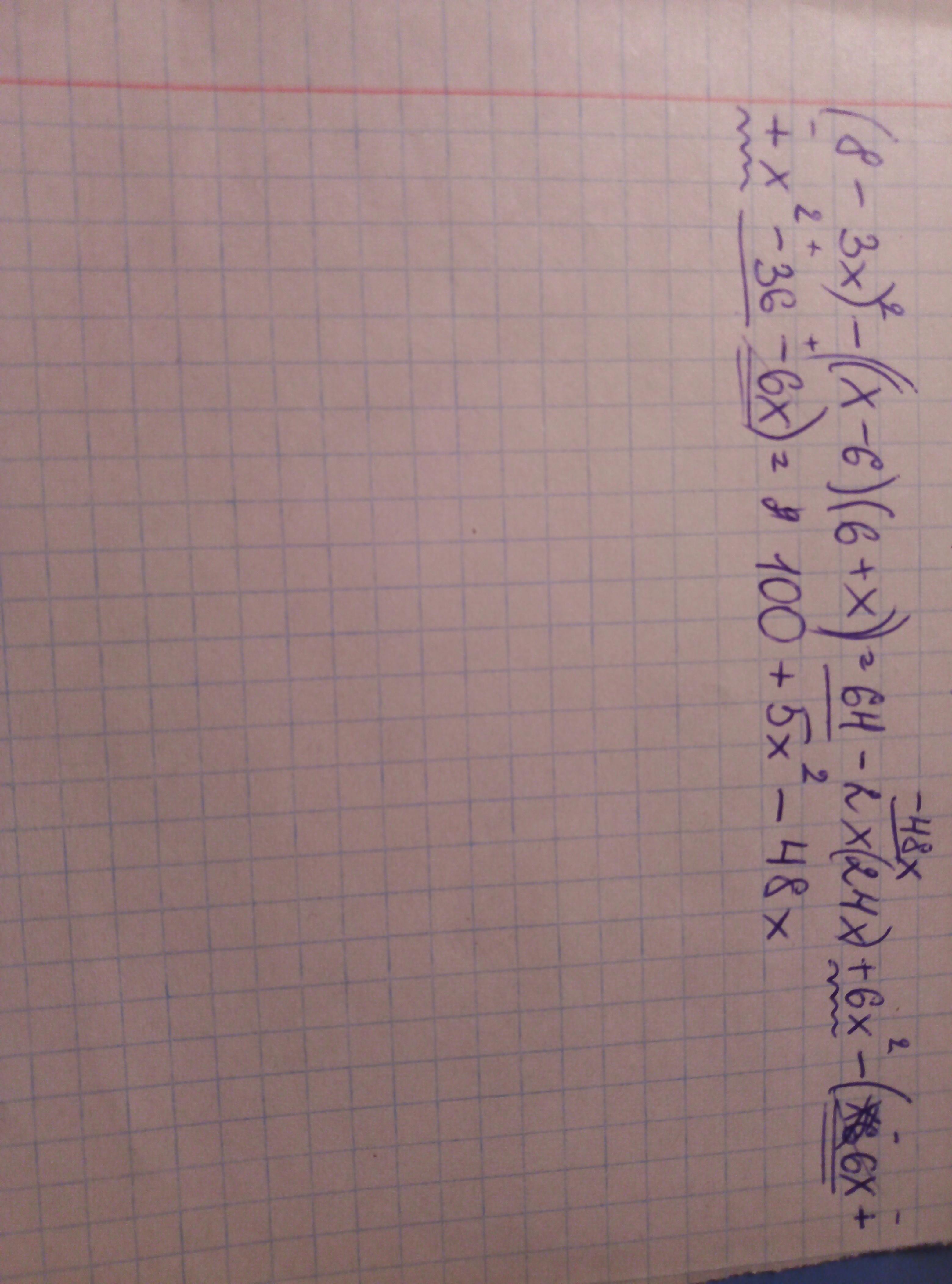
упростите выражение (8-3x)²-(x-6)(6+x). Помогите срочно​

Ответы

Ответ дал: Gravitifolz79
0

Вот если так уж срочно.

Приложения:
Ответ дал: emirakjolovv
0
спасибо большое
Ответ дал: Gravitifolz79
0
Там не 5х^2, а 8х^2
Ответ дал: Аноним
0

___________________

Готово!!Удачи:)))

___________________

Приложения:
Ответ дал: emirakjolovv
0
спасибо
Ответ дал: Аноним
0
Обращайтесь:)
Вас заинтересует