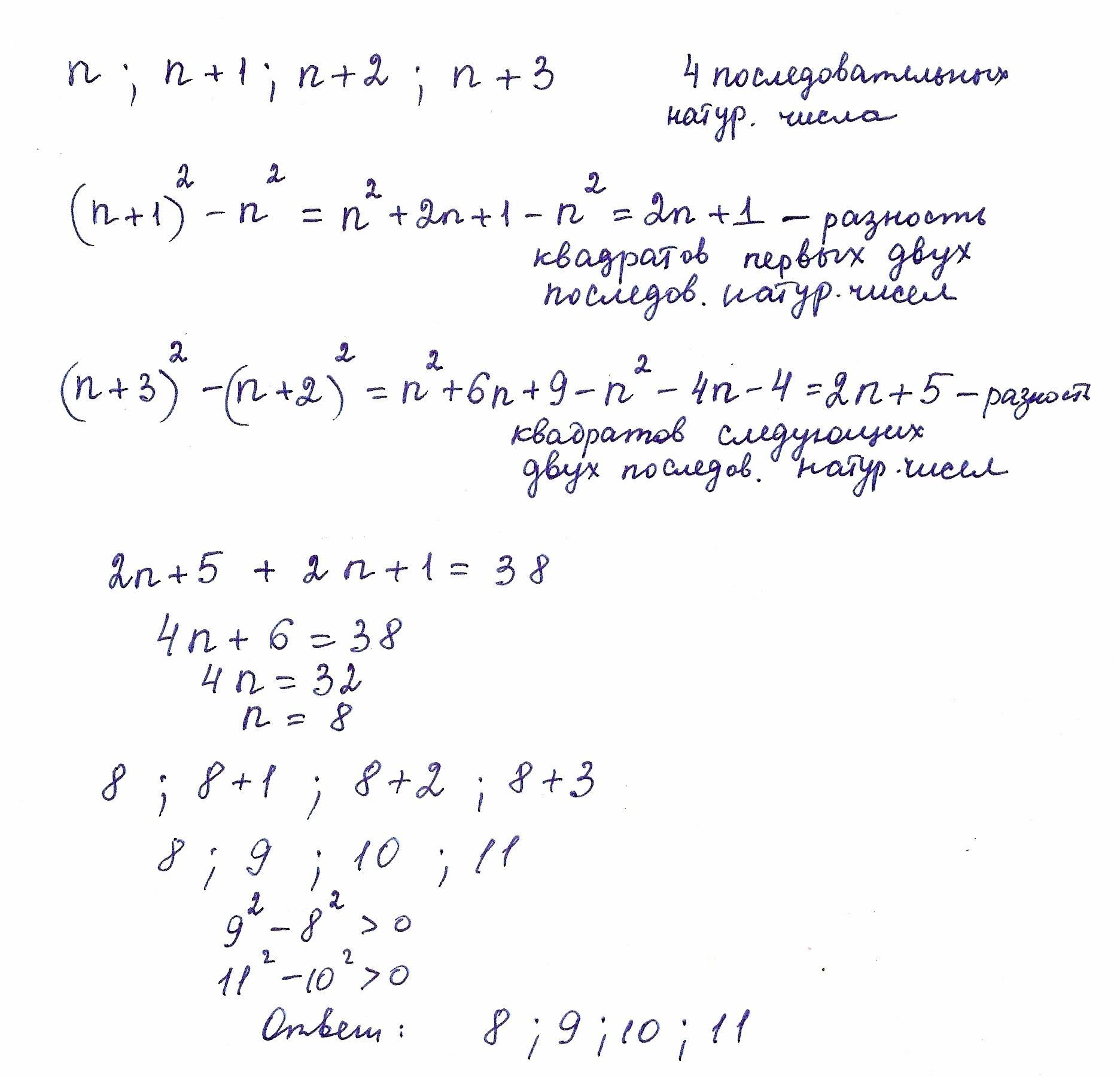
Сумма разности квадратов двух последовательных натуральных чисел и разности квадратов следующих двух последовательных натуральных чисел равна 38. Найдите эти числа, если разности квадратов не отрицательны
Ответы
Ответ дал:
0
ответ на фото\\\\\\\\\\\\\\\\\\\\\\\
Приложения:

Вас заинтересует
2 года назад
2 года назад
3 года назад
3 года назад
8 лет назад
8 лет назад
9 лет назад