• Предмет: Математика
  • Автор: VladaPesatova
  • Вопрос задан 8 лет назад

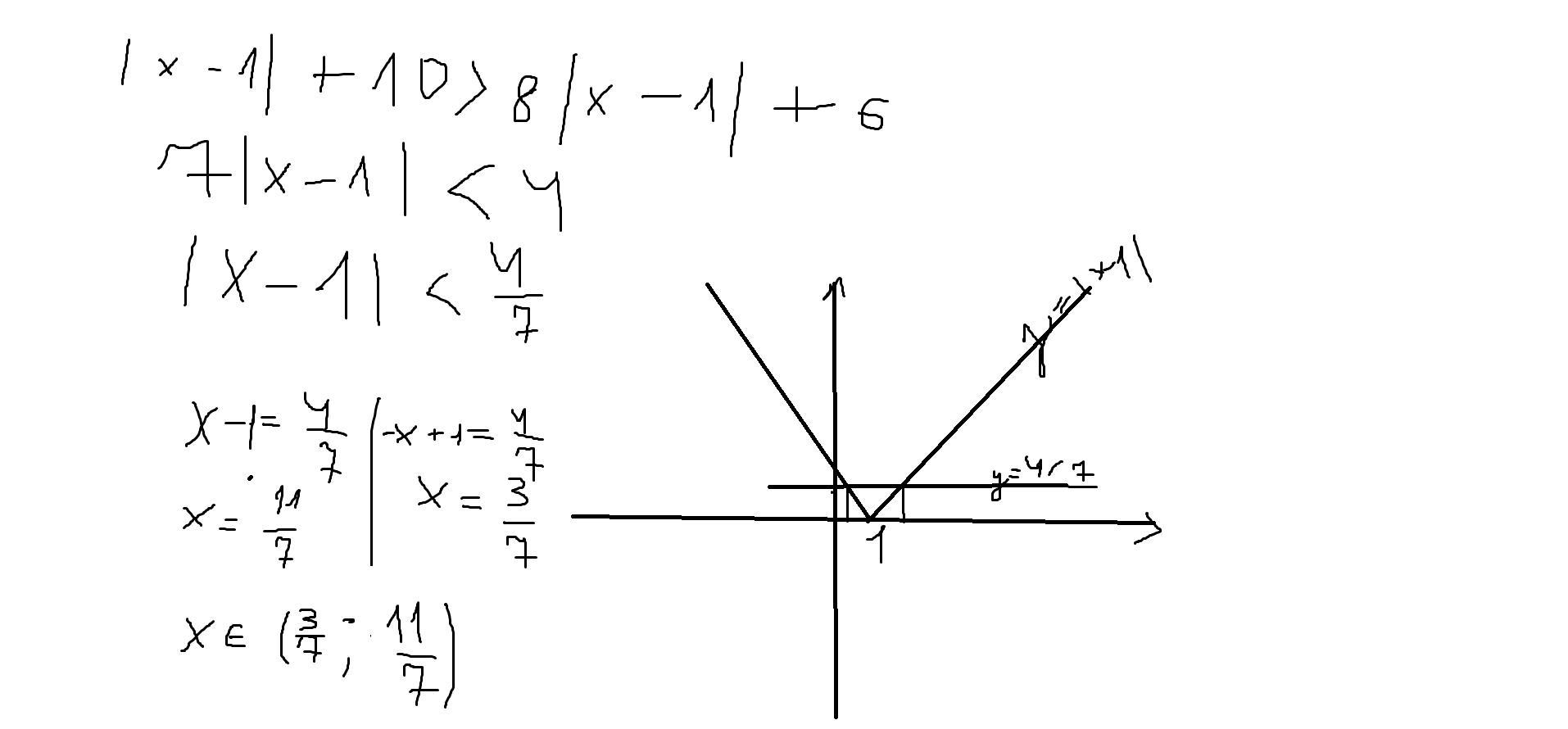
15.Решите неравенство

Приложения:

Ответы

Ответ дал: GamaFunction
0

Ответ:

Пошаговое объяснение:

Там не пугайтесь, я просто домножил на знаменатель. А так можно сделать, ведь область допустимых значений функций - все множество действительных чисел (abs(x-1)>=0

Приложения:
Вас заинтересует