СРОЧНО
Автоматическая фотокамера делает фотографии высокого разрешения с палитрой, содержащей 2^24 = 16 777 216 цветов. средний размер фотографии составляет 12 мбайт. для хранения в базе данных фотографии преобразуют вчёрно-белый формат с палитрой, содержащей 256 цветов. другие преобразования и дополнительные методы
сжатия не используются. сколько мбайт составляет средний размер преобразованной фотографии?
Ответы
Ответ дал:
0
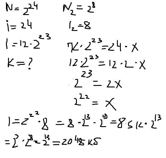
вот если не ошибаюсь как то так мв нашли кол во пиксилей и умножили на вес одного пикселя и получили 2048кб
Приложения:
Ответ дал:
0
если не наврал с арифметикой должно быть правильно но хорошо что знаю степени двойки большие числа считать не приходится
Ответ дал:
0
Ответ:
4 Мбайт
Объяснение:
Изначально отводилось 24 бита на пиксель, после преобразования - 8 бит на пиксель (256 = 2^8).
Количество бит на пиксель уменьшилось в 24/8 = 3 раза, тогда и весь объём файла уменьшится в 3 раза
Средний размер преобразованной фотографии 12 Мбайт / 3 = 4 Мбайт
Вас заинтересует
2 года назад
3 года назад
9 лет назад
9 лет назад
10 лет назад
10 лет назад