• Предмет: Физика
  • Автор: 1sssn1998
  • Вопрос задан 8 лет назад

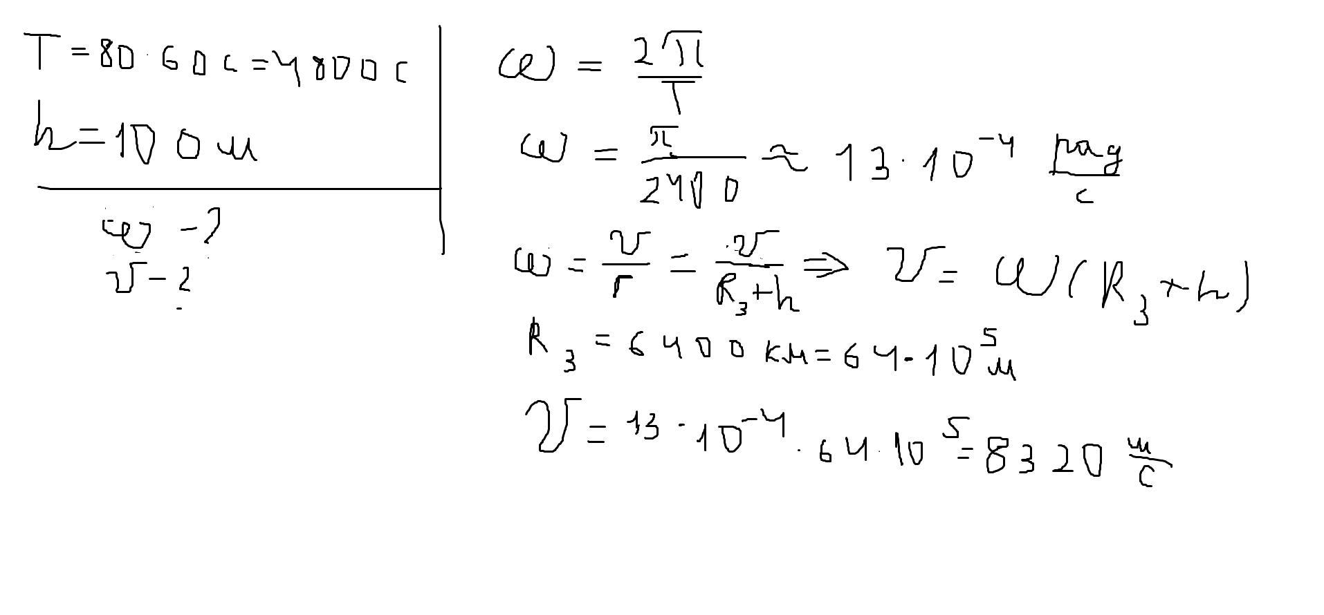
найти угловую скорость искусственного спутника Земли, движущегося по круговой орбите с периодом вращения Т=80 мин. Какова линейная скорость движения этого искусственного спутника, если известно, что его орбита расположена на расстоянии ℎ=100 км от поверхности Земли?

Ответы

Ответ дал: GamaFunction
0

Тут все по формулам для криволинейного движения (по окружности)

Приложения:
Ответ дал: tigran2002gevorgyan
0
на фото .............
Приложения:
Вас заинтересует